-
Scholarship Access: Becoming a Student Doctor course
Free access to comprehensive medical school prep. Eligible students include AAMC FAP recipients and HS graduates from underserved areas. Apply today.
You are using an out of date browser. It may not display this or other websites correctly.
You should upgrade or use an alternative browser.
You should upgrade or use an alternative browser.
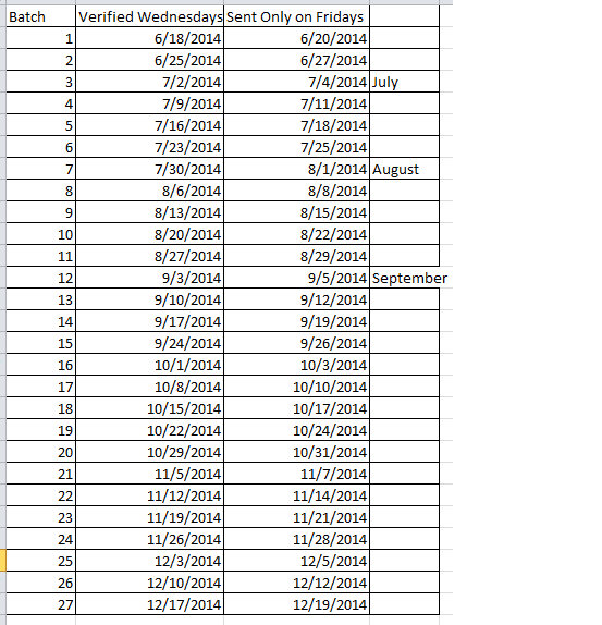
First batch already sent?
Started by ThatsMyFlossify
Advertisement - Members don't see this ad
yup. on the 20th
And do they go out every week following? Next one on Friday, then?
Yes, I believe so. My application is scheduled to be sent out this Friday.And do they go out every week following? Next one on Friday, then?
And do they go out every week following? Next one on Friday, then?
Each Friday but prepared on Wednesday or Thursday.
Yes, I missed the prep date for first batch by a couple of days. So I just got a mailing date for mine 6/27/2014
Each Friday but prepared on Wednesday or Thursday.
Maybe they've switched to Wednesday this year. Interesting...
Maybe they've switched to Wednesday this year. Interesting...
It may be due to the amount of applications in the initial batches and then they may revert back to Thursday as applications taper down. Your guess is as good as mine but whatever...
Advertisement - Members don't see this ad
Most likely, my portal just updated with my mailing date for the 27th.
I just e-submitted it yesterday and they finished the verification today(6/26/2104). But, I don't see the mailing date and mailing status says not mailed.. My application will be send in 3rd batch most likely?
Yes.
thank you!! I just saw it will be mail in 07/07/2014Yes.
I e-submitted on July 3rd, anyone have an idea what batch I should anticipate to be in? 4th or 5th batch?
@customx thank you! 🙂 I'm going to guess that is early enough.
Similar threads
- Replies
- 4
- Views
- 2K
- Replies
- 5
- Views
- 2K
D
- Replies
- 5
- Views
- 3K
- Replies
- 7
- Views
- 313