Advertisement - Members don't see this ad
Which of the following are likely fates of acetone in the body?
I. Excretion in the urine
II. Conversion back to acetoacetate
III. Involvement in the anabolism of amino acids
I only (Correct answer)
I and II only
II and III only
I, II, and III
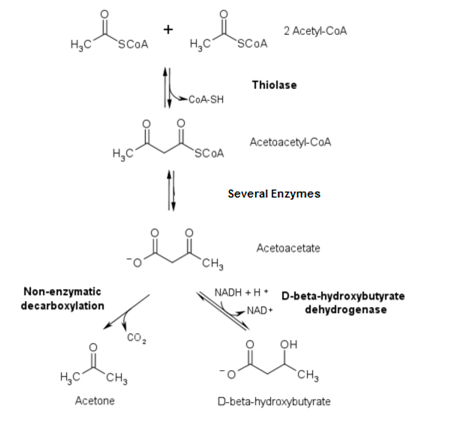
"A is correct. This question is asking us to determine from the passage the likely fate of acetone. The passage mentions that acetone has no metabolic utility. Thus choices II and III are incorrect. Acetone is simply excreted in the urine.
B, C, D: All of these choices include either II or III, which incorrectly describle metabolic uses for acetone in the body."
I was under the impression that ketone bodies enter circulation and can be taken up by other cells and converted back to acetyl-CoA. I will admit that the passage implied that acetone had no metabolic use, and I should have answered the question off the passage information and not my background information. But I was wondering what y'all think.
Thanks!
I. Excretion in the urine
II. Conversion back to acetoacetate
III. Involvement in the anabolism of amino acids
I only (Correct answer)
I and II only
II and III only
I, II, and III
"A is correct. This question is asking us to determine from the passage the likely fate of acetone. The passage mentions that acetone has no metabolic utility. Thus choices II and III are incorrect. Acetone is simply excreted in the urine.
B, C, D: All of these choices include either II or III, which incorrectly describle metabolic uses for acetone in the body."
I was under the impression that ketone bodies enter circulation and can be taken up by other cells and converted back to acetyl-CoA. I will admit that the passage implied that acetone had no metabolic use, and I should have answered the question off the passage information and not my background information. But I was wondering what y'all think.
Thanks!